Directorate of Health Service Assam (DHS) Stuff Nurse Written Exam Result 2018
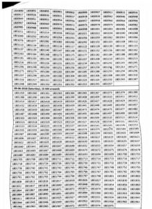
DHS Assam Stuff Nurse Written Exam Result 2018 -This is for information of all concerned that the candidates who appeared in the written test for the posts of Staff Nurse under the Directorate of Health Services, Assam (including new Model Hospitals) in reference to the Advt. No. Janasanyog/D/11022/17, dtd. 19/11/2017. Janasanyog/D/11793/17, dtd. 15/12/2017 and Janasanyog/D/11870/17 having following Roll No. are hereby directed to appear for a Skill test and verification of all their original documents and to verify whether they have fulfilled all the criteria as per advertisement or not, on the date, time and venue given below:
DHS Stuff Nurse Written Exam Result 2018
[maxbutton id=”1″ ]


DHS Assam Stuff Nurse Written Exam Result 2018


Directorate of Health Service Assam Stuff Nurse Written Exam Result 2018

Official Notification: https://dhs.assam.gov.in/Doc2018-05-29.pdf
